Предмет: Алгебра,
автор: pabgmobajl391
Помогите срочно!!!!
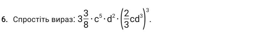
задание на фотке
Приложения:
Ответы
Автор ответа:
0
Ответ:
9/8*5*2*(сд)=с5*д581
Похожие вопросы
Предмет: Беларуская мова,
автор: blinklovvve
Предмет: Українська мова,
автор: slobodanuk1103
Предмет: Английский язык,
автор: aolena40
Предмет: Английский язык,
автор: sergey3092001