Предмет: Алгебра,
автор: cekirisalina
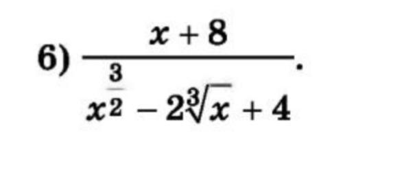
Скоротіть дріб
Фото нижче
Приложения:
Ответы
Автор ответа:
1
Ответ:
решение смотри на фотографии
Приложения:
tamarabernukho:
x^(3/2)#cbrt(x^2)
Наверное в УСловии опечатка
x^(3/2)#x^(2/3)
Похожие вопросы
Предмет: Українська мова,
автор: lixlive2023
Предмет: Алгебра,
автор: tmargo318
Предмет: Математика,
автор: Makes1090
Предмет: Математика,
автор: leralogvinenko167
Предмет: Литература,
автор: Sashanikolin