Предмет: Алгебра,
автор: ylianposipaka123
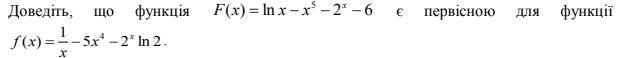
Срочно!!!Срочно!!!Срочно!!!Срочно!!!Срочно!!!Срочно!!!Срочно!!!
Приложения:
Ответы
Автор ответа:
1
Смотри..........................
Приложения:
prin4ik:
дпоможіть будь ласка
может мне помочь, пожалуйста
Похожие вопросы
Предмет: Физика,
автор: bog20102010
Предмет: Українська мова,
автор: slabykangelyna
Предмет: Математика,
автор: kipelov2007
Предмет: Математика,
автор: tdemchenko683
Предмет: Химия,
автор: nataliyap4nfilova