Предмет: Информатика, автор: abduldabekovadiana

С помощью таблицы кодов АSСІІ закодируйте слово «информатика»,используя: а) десятичный код: б) двоичный код.​

Ответы

Автор ответа: podskrebkinazp
5

Десятичный код:

1444331446451447291446461447251

44644144625144727144633144642144

625

Двоичный код:

0000111000101100001000010000111

00010111000101101000011100010111

10001110100001110001011100010111

00000111000101111000110010000111

00010111000101100000011100010111

00001100100001110001011110001101

10000111000101110001000010000111

00010111000101010000011100010111

000011001

Объяснение:

Должно быть верно


tiktonikkatuska: помогите с математикой пожалуйста
podskrebkinazp: что нужно сделать?
Автор ответа: valgrisa
12

Ответ:

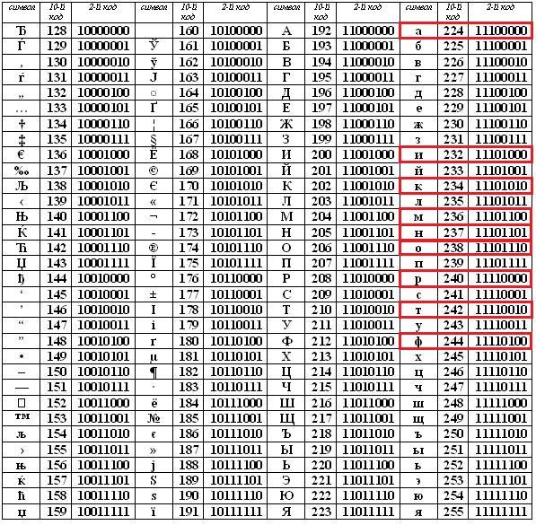
а) десятичный код:

232   237   244   238   240   236   224   242   232   234   224

б) двоичный код:

11101000   11101101   11110100   11101110   11110000   11101100   11100000   11110010   11101000   11101010   11100000

Объяснение:

воспользуемся таблицей кодов ASCII (скрин)

а) десятичный код:

и   232

н   237

ф   244

о   238

р   240

м   236

а   224

т   242

и   232

к   234

а   224

б) двоичный код:

и   11101000

н   11101101

ф   11110100

о   11101110

р   11110000

м   11101100

а   11100000

т   11110010

и   11101000

к   11101010

а   11100000

Приложения:

palinazemlakova: аа
palinazemlakova: спасибо
polinka162010: ого, целая петиция.
Похожие вопросы
Предмет: Английский язык, автор: aleksandrapazij14
Предмет: Другие предметы, автор: nalepov2304