Предмет: Математика,
автор: Аноним
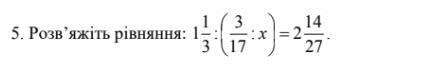
розв`яжіть рівняння 1 1\3 : (3\17 : х)=2 14\27 !!!СРОЧНО!!1
Приложения:
Ответы
Автор ответа:
1
Ответ:
Похожие вопросы
Предмет: История,
автор: b6m
Предмет: Биология,
автор: levandpasha
Предмет: История,
автор: vladiknegnevitskiy
Предмет: Українська література,
автор: 9pLimyrp9