Предмет: Математика,
автор: ERZZh
срочно даю 35 балов!!!!!!
Приложения:
Ответы
Автор ответа:
1
Ответ:
Пошаговое объяснение:
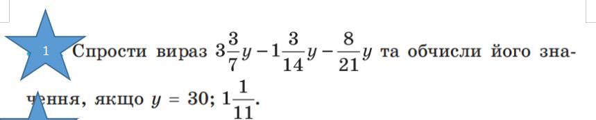
3 3/7у - 1 3/14у - 8/21у = 3 18/42у - 1 9/42у - 16/42у =
= 2 60/42у - 1 9/42у - 16/42у = 1 35/42у = 1 5/6у
якщо у = 30
1 5/6у = 1 5/6 * 30 = 11/6 * 30 = 55
якщо 1 1/11
1 5/6у = 1 5/6 * 1 1/11 = 11/6 * 12/11 = 2
Похожие вопросы
Предмет: География,
автор: Egorchik2011
Предмет: Математика,
автор: ttsilver
Предмет: Українська мова,
автор: sasakorotin793
Предмет: Математика,
автор: jh0981
Предмет: Литература,
автор: bakalovi718