Предмет: Геометрия,
автор: sofiamaidansky
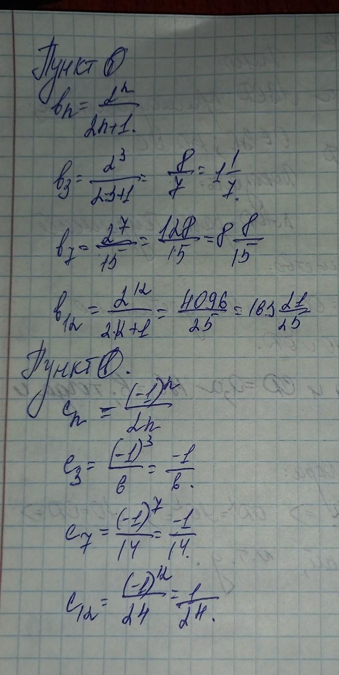
Помогите пожалуйста
Б) и в)
Полный ответ пожалуйста
Приложения:
Ответы
Автор ответа:
0
Ответ:
-ВСЕ ВО ВЛОЖЕНИЕ-
Объяснение:
-ВСЕ ВО ВЛОЖЕНИЕ-
Приложения:
Похожие вопросы
Предмет: Немецкий язык,
автор: solomiyagalushko
Предмет: География,
автор: fidash12
Предмет: Алгебра,
автор: 2Fperfomance
Предмет: Английский язык,
автор: Аноним
Предмет: Геометрия,
автор: tomboymark1314