Предмет: Алгебра,
автор: bondarenkoartur1508
Времени нет а решить надо , помогите пожалуйста
Приложения:
Ответы
Автор ответа:
1
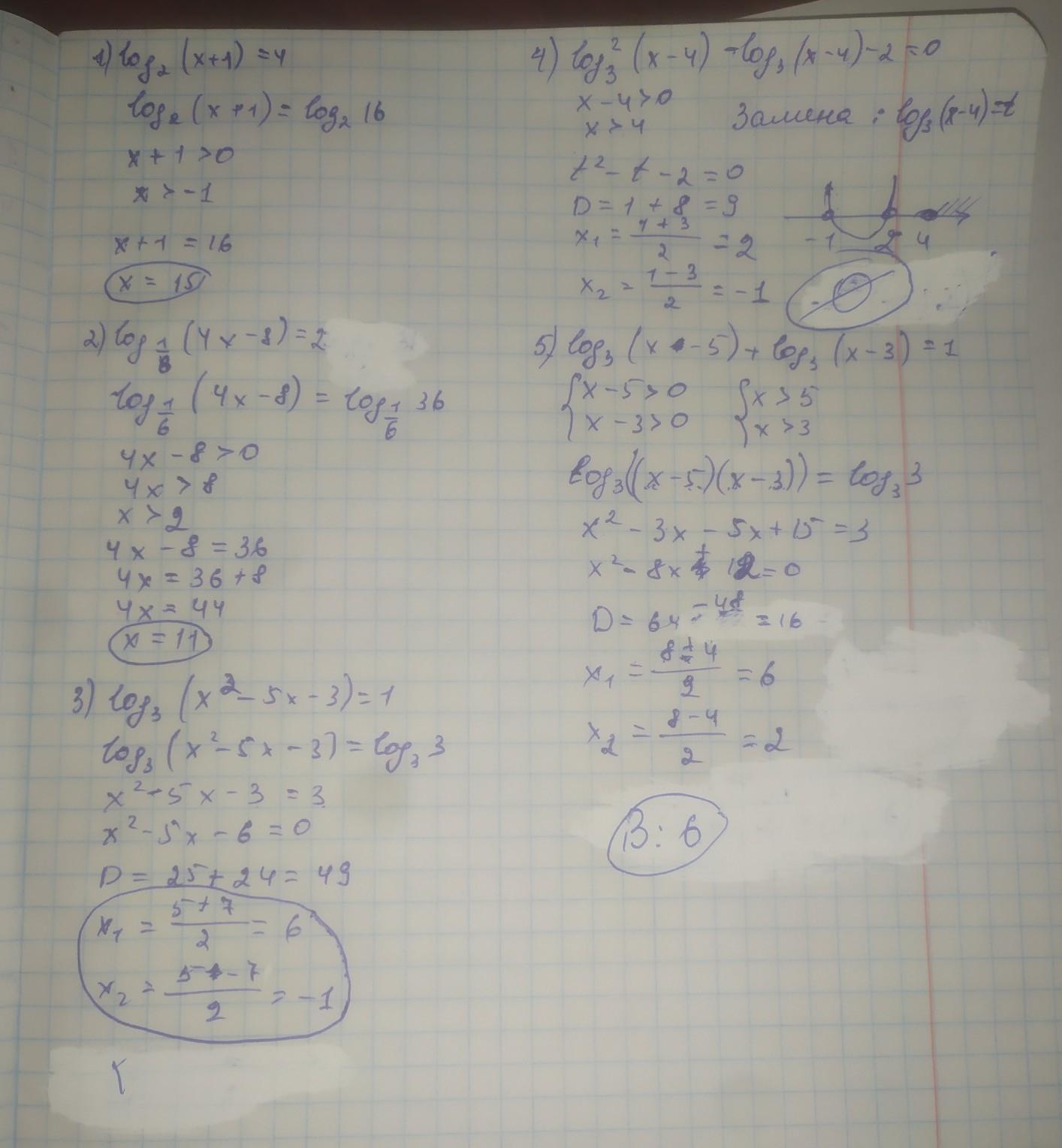
Объяснение:
вот, пожалуйста, если ответ вас устроит, то не могли бы вы поставить отметку "Лучший ответ"? буду очень благодарна
Приложения:
bondarenkoartur1508:
Эх конечно поздновато , но всеровно спасибо
Похожие вопросы
Предмет: Алгебра,
автор: ila718914
Предмет: Химия,
автор: vladislavatokarchuk
Предмет: Українська мова,
автор: 2028holubivan
Предмет: Биология,
автор: milla222278
Предмет: Алгебра,
автор: olpv883