Предмет: Алгебра, автор: nikitazgyrskij123

решите пожалуйста!!!!!!!!!!!!!!!!!!!!!!!!!!!!!!!!!!!

Приложения:

Ответы

Автор ответа: MrSolution
1

Ответ:

(см. объяснение)

Объяснение:

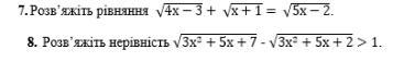
\sqrt{4x-3}+\sqrt{x+1}=\sqrt{5x-2}

Пусть u=\sqrt{4x-3},\;v=\sqrt{x+1}.

Тогда можно заметить, что u^2+v^2=5x-2.

А из исходного уравнения в свою очередь следует, что:

u+v=\sqrt{5x-2},\;\Rightarrow\;(u+v)^2=5x-2.

Откуда приходим к тому, что u^2+v^2=(u+v)^2, то есть uv=0.

Таким образом, исходное уравнение было сведено к равносильному:

\sqrt{4x-3}\sqrt{x+1}=0

Ну а оно решается очевидно, давая корень x=\dfrac{3}{4}.

Уравнение решено!

Комментарий:

Вообще говоря, мы показали, что уравнение вида \sqrt{a}+\sqrt{b}=\sqrt{a+b} равносильно уравнению \sqrt{a}\sqrt{b}=0. В дальнейшем этот факт можно использовать без доказательств как очевидный.

Похожие вопросы
Предмет: География, автор: kirixiro333