Предмет: Алгебра,
автор: Машуня2013
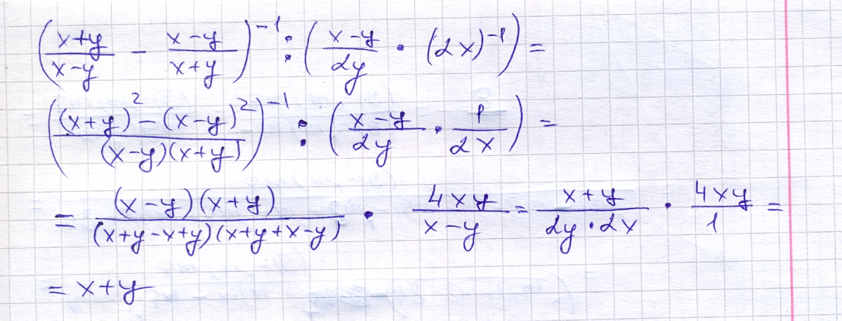
ПОМОГИТЕ НАПИСАТЬ РЕШЕНИЕ ОЧЕНЬ НУЖНО!!!!!!!!!!!! УПРОСТИТЬ ВЫРАЖЕНИЕ;
Приложения:
Ответы
Автор ответа:
0
.....................................................
Приложения:
Похожие вопросы
Предмет: География,
автор: dyrka17
Предмет: Алгебра,
автор: yanaten261319
Предмет: Українська мова,
автор: dnika8428
Предмет: Математика,
автор: danik02000