Предмет: Алгебра,
автор: nkapusta589
Помогите пожалуйста
Приложения:
Ответы
Автор ответа:
0
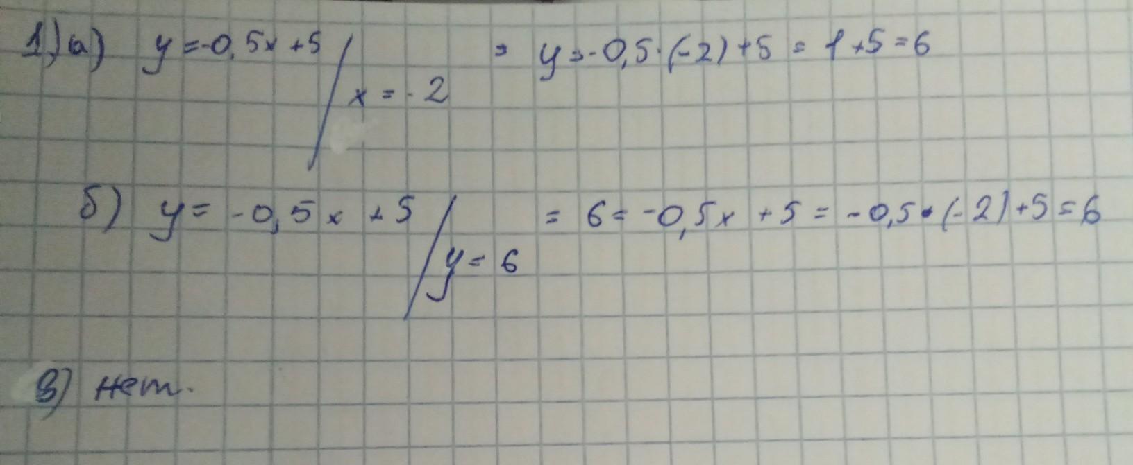
1 задание смотрите на фото
Приложения:
Похожие вопросы
Предмет: Математика,
автор: vadimkyzmin20
Предмет: Литература,
автор: sasakilimnik3
Предмет: Литература,
автор: 1dazzzz
Предмет: Українська мова,
автор: macopavika
Предмет: История,
автор: yxsby