Предмет: Математика,
автор: ernarabulhairov53
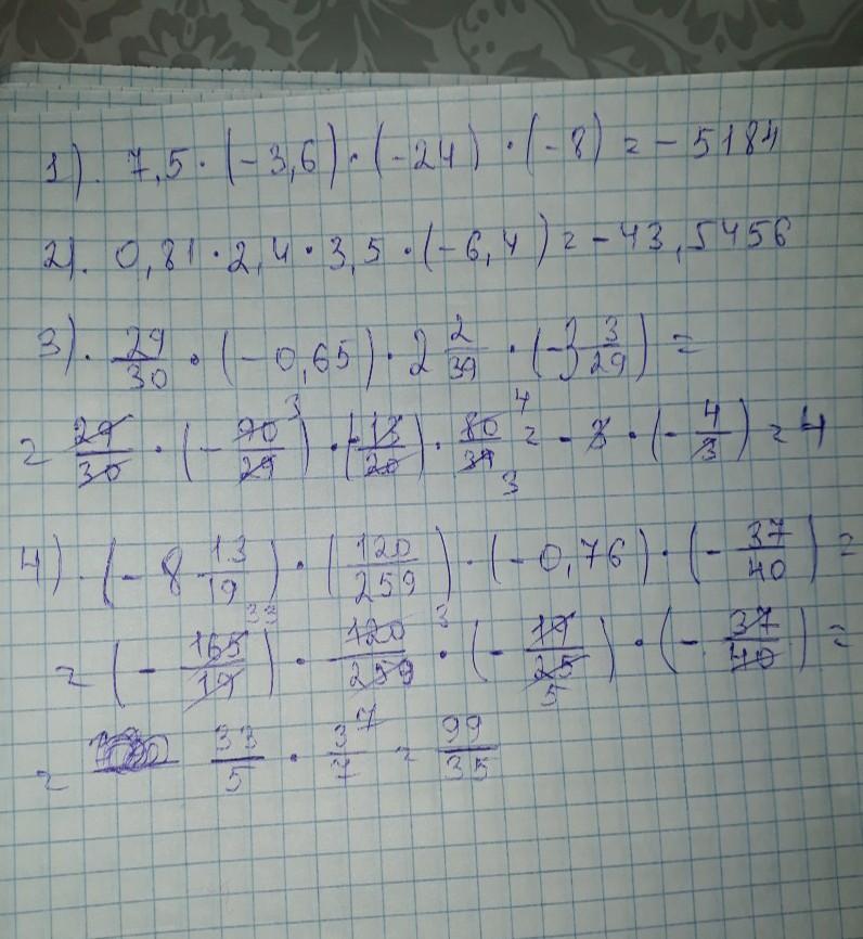
632. Найдите значение выражения: 1) 7,5 . (- 3,6) - a . b, если a = −24, b = −8; 2) 0,81 . (-m) . 3,5 . (-и), если м = -2,4, n = 6,4; 3) 29 30 4) -8 2 (-0,65) - x-y, если х = 2 13 19 120 259 3 39' У = −3- y=-3- x - у, если х = -0,76, у 29 37
Ответы
Автор ответа:
9
Ответ:
Это Книга ?
Вот Ответ Удачи
Приложения:
lilamaskalcova:
это правильно?
Похожие вопросы
Предмет: История,
автор: dimkasopko5
Предмет: Оʻzbek tili,
автор: lilamelnikiwa44
Предмет: Биология,
автор: annamariakasan
Предмет: География,
автор: dbrfu
Предмет: Биология,
автор: filippovarseniy