Предмет: Математика,
автор: krasnakovkirilo
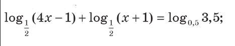
СРООООЧНО ПОМОГИТЕ ПРОООШУ!!!!!!!
Приложения:
Ответы
Автор ответа:
0
Ответ:
x =
krasnakovkirilo:
це не правильна відповідь!
Похожие вопросы
Предмет: Математика,
автор: galinadonchyk13
Предмет: Українська мова,
автор: egorikov228
Предмет: Литература,
автор: Аноним
Предмет: Русский язык,
автор: umidabexruz951
Предмет: Литература,
автор: balerbew11