Предмет: Алгебра,
автор: adeptesao401
розв'яжіть подвійну нерівність
-3 ≤ 2х - 1 ≤ 15
Ответы
Автор ответа:
2
Объяснение:
........................
Приложения:
Автор ответа:
2
Объяснение:
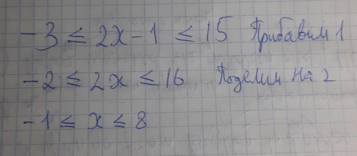
-3≤2х-1≤15
2х-1≥ -3
2х-1≤15
2х≥ -3+1
2х≤15+1
2х≥ -2
2х≤16
х≥ -2:2
х≤16:2
х≥ -1
х≤8
х∈[-1; 8]
Похожие вопросы
Предмет: Українська література,
автор: torrivi2208
Предмет: Биология,
автор: top454690
Предмет: Химия,
автор: semkovics4
Предмет: Физкультура и спорт,
автор: 7331228
Предмет: Физика,
автор: irinalakiza77