Предмет: Алгебра,
автор: lisaci1081
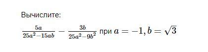
Помогите пж с заданием!!!!!!!!!!!
Приложения:
Ответы
Автор ответа:
0
Ответ:
5a/[5a(5a-3b)-3b/(5a-3b)(5a+3b)=1/(5a-3b)-3b/(5a-3b)(5a+3b)=
=(5a+3b-3b)/(25a²-9b²)=5a/(25a²-9b²
Объяснение:
там все
dashaslavinskaya2903:
и я забыла закрыть дужку
Автор ответа:
1
Ответ:
калькулятор говорит что (52+15*квадратный корень 3)/260
Объяснение:
Похожие вопросы
Предмет: Математика,
автор: irinasaenko2011
Предмет: Математика,
автор: savvov4
Предмет: Английский язык,
автор: Semmyx
Предмет: Українська мова,
автор: swetakorsak5678
Предмет: Русский язык,
автор: sashok202656