Предмет: Математика,
автор: Andrey786757
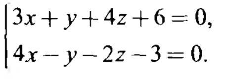
Складіть канонічне рівняння прямої
Приложения:
Ответы
Автор ответа:
0
Ответ:
Пошаговое объяснение:
посмотрите предложенное решение.
Приложения:
Похожие вопросы
Предмет: Русский язык,
автор: mansurovafarangiz14
Предмет: Другие предметы,
автор: ichyn
Предмет: Українська література,
автор: toalp
Предмет: Биология,
автор: vasilevakiunnei85
Предмет: Математика,
автор: tatyanalarikova01