Предмет: Математика,
автор: ivannkaprishenko45
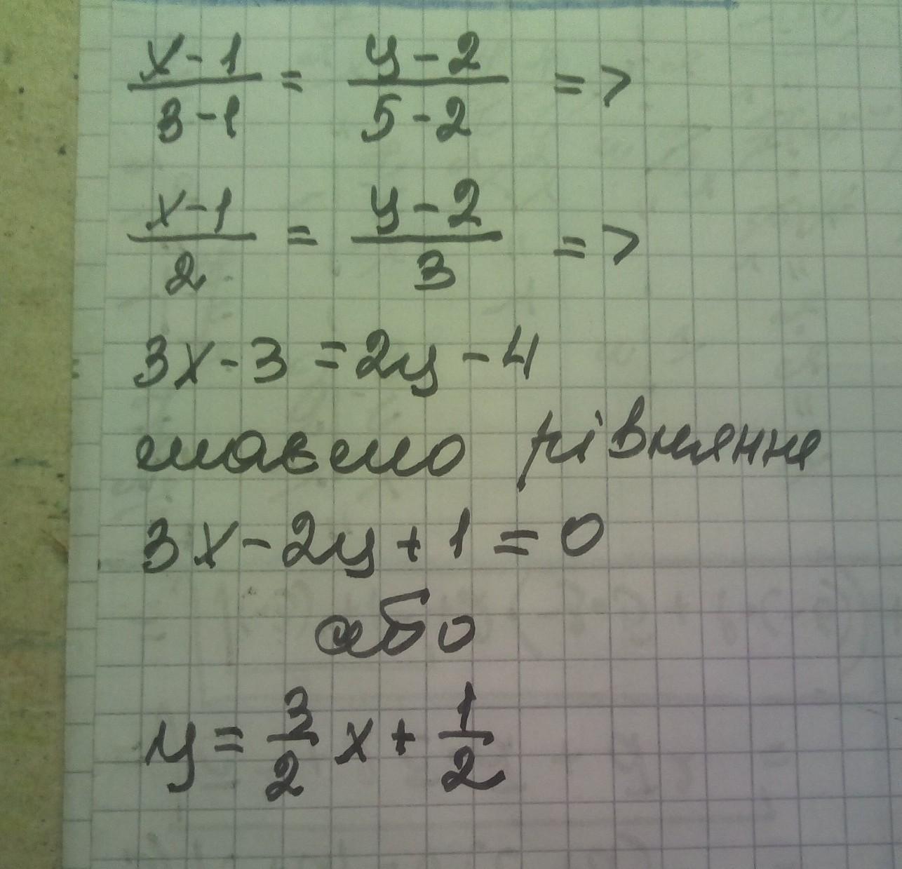
Скласти рівняння прямої, що проходить через точки А(1; 2) та В (3; 5).
Ответы
Автор ответа:
1
Ответ:
решение смотри на фотографии
Приложения:
Похожие вопросы
Предмет: Физика,
автор: illyamarchenko15
Предмет: Русский язык,
автор: armanomaroff1987
Предмет: Математика,
автор: ivan2021vert
Предмет: Русский язык,
автор: vasilisaburova220
Предмет: Математика,
автор: Аноним