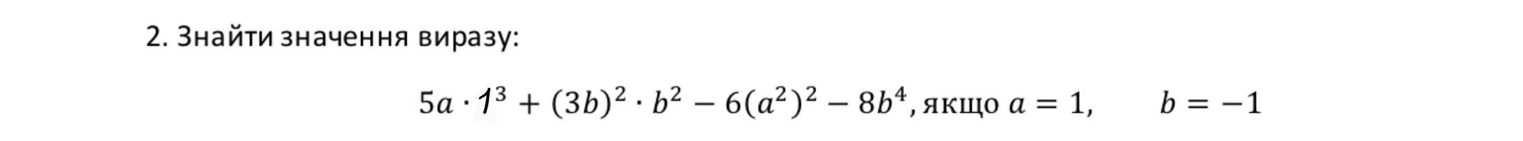
Предмет: Алгебра, автор: Kakoitochell

Помогите срочно пожалуюсто дам 30 баллов

Приложения:

olgaua64: Скоріш за все в першому доданку не 1³ , а а³ повинно бути
mhovsepyan730: а=1 b=-1

Ответы

Автор ответа: mhovsepyan730
1

Ответ:

насколько знаю это решается так

Приложения:

olgaua64: Спочатку треба спростити вираз
Похожие вопросы
Предмет: Химия, автор: jjolyy
Предмет: Биология, автор: barzaninserj
1. Безусловный рефлекс – это: А) приобретенная программа поведения Б) врожденные формы поведения В) сложная форма врожденного поведения Г) положительные побудительные инстинкты 2. Условный рефлекс – это: А) самая простая форма приобретенной программы поведения Б) врожденные формы поведения В) положительные безусловные рефлексы 3. Динамический стереотип: А) вырабатывается на определенные сигналы Б) лежит в основе различения внешних сигналов В) группа ориентировочных рефлексов (рефлексы «что такое») Г) условно-рефлекторные связи, сложившиеся в головном мозге путем многократного повторения одних и тех же действий в одной и той же последовательности 4. Инстинкт – это: А) цепь последовательно связанных друг с другом рефлекторных актов Б) передается по наследству В) передача возбуждения к рабочему органу Г) безусловный рефлекс 5. Запечатление А) приобретается в процессе жизни Б) вырабатывается на определенные сигналы В) врожденная способность к запоминанию в раннем возрасте Г) передается по наследству 6. В нейронах нервной системы действуют процессы: А) возбуждение Б) торможение В) возбуждение и торможение Г) возбудимость и проводимость 7. Безусловное торможение: А) является врожденным; передается по наследству Б) вырабатывается в течение жизни В) верны все варианты 8. Состояние доминанты – это: А) образование условно- рефлекторных связей между сигнальным раздражителем и безусловным подкреплением Б) обеспечение согласованной деятельности всех органов В) проведение возбуждения от ЦНС к рабочему органу 9. Во время сна биотоки головного мозга можно зарегистрировать с помощью прибора: А) осцифоллографа Б) электроэнцефаллографа В) томографа Г) тонометра 10. Из каких фаз состоит сон? А) летаргический сон Б) медленный сон В) быстрый сон Г) парадоксальный сон Давайте попробуем сейчас определить ваш биоритм, с помощью мини – анкеты. 1. Трудно ли вам вставать рано утром? А) да Б) не всегда В) нет 2. В какое время вы предпочитаете ложиться спать? А) после часа ночи Б) около 11 ч. В) около 10 ч. 3. В какое время вы предпочитаете кушать обильно? А) утром Б) в обед В) вечером 4. Когда вам легче учить уроки? А) поздно вечером Б) днём В) в утренние часы Интерпретация ответов: - если больше ответов А – вы сова - если больше ответов В – вы жаворонок - если больше ответов Б – вы аритмик.