Предмет: Математика,
автор: sidorenkosofia11
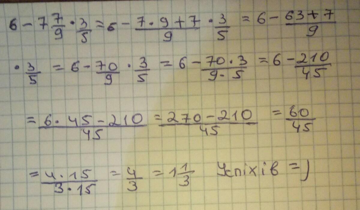
6 - 7 7/9 • 3/5 =
Помогите решить пример пожалуйста
30 б
Ответы
Автор ответа:
1
Ответ на пример: -0,53333……
Автор ответа:
1
Решение на фотографии.
Приложения:
sidorenkosofia11:
Спасибо !
Похожие вопросы
Предмет: Математика,
автор: sarikboin1
Предмет: Математика,
автор: mazurova687
Предмет: Математика,
автор: melnikovamargo2011
Предмет: Русский язык,
автор: lizadementyeva388