Предмет: Математика, автор: GelyaAngelinatop1

Решите уравнение. Дам 15 баллов

Приложения:

Ответы

Автор ответа: AnyaPenkal2009
0

Ответ:
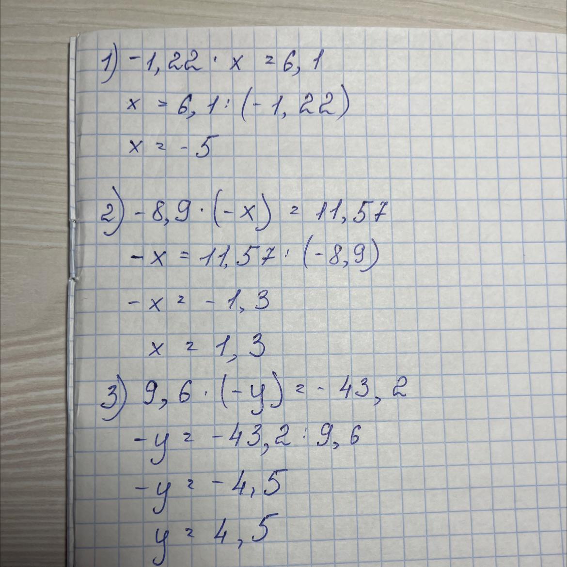
1. x= -5
2. х= 1,3
3. у= 4.5

Пошаговое объяснение:

Автор ответа: bvs08042009
1
Вот детальный ответ
Приложения:
Похожие вопросы
Предмет: Українська мова, автор: svetlanazamkor2
1.Речення " Віз наш увесь дерев*яний: дід і прадід були чумаками, а чумаки не любили заліза, бо воно притягає грім" має такі види зв*язку:
*
а.безсполучниковий, сурядний і підрядний
б.безсполучниковий і сурядний
в.сурядний і підрядний
г.безсполучниковий і підрядний

2.Щастя твоє в тобі самому: пізнавши себе, пізнаєш усе" є
а.складнопідрядне
б.безсполучникове
в.складносурядне
г.з різними видами зв*язку
3.Речення "Вишиває і співає, і ніхто не зна, де узор вона кінчає, де ту пісню почина" відповідає схемі
*
а.[ ], [ ], ( ), ( )
б.( ), [ ], ( ), ( )
в.[ ], [ ], [ ], [ ]
г.[ ], ( ), ( ), ( )
4.Віз наш увесь дерев*яний: дід і прадід були чумаками, а чумаки не любили заліза, бо воно притягає грім" має такі види зв*язку:
*
а.безсполучниковий, сурядний і підрядний
б.безсполучниковий і сурядний
в.сурядний і підрядний
г.безсполучниковий і підрядний
5.Речення "Харків - гарне, світле і живописне місто, тут тебе завжди зустрічають з радістю, і здається, що ти тут прожив би все життя" - це складне речення з такими видами зв*язку:
*
а.безсполучниковим, сурядним та підрядним зв*язком
б.безсполучниковим та підрядним зв*язком
в.безсполучниковим та сурядним зв*язком
г.сурядним та підрядним зв*язком
6.Розкажи, як за горою сонечко сідає, як у Дніпра веселочка воду позичає" є
*
а.просте
б.з різними видами зв*язку
в.складносурядне
г.складнопідрядне
7.Складним реченням із сполучниковим і безсполучниковим зв*язком є речення
*
а.У небі весело шугають ластівки і співають жайвори, коли пригріє тепле весняне сонце.
б.Планета сива над віками крутиться, минають дні, і пахне сіножать.
в.Плачуть дощі в снігах, просять вітри спочину і розбивають в прах зоряну павутину.
г.Сонце заходить, гори чорніють, пташечка тихне, поле німіє.
8.Речення "У стародавніх слов*ян були різні обряди, різні релігійні свята, що здійснювались у певний час, повторювались у певні дні, на одному і тому ж місці" є
*
а.з різними видами зв*язку
б.складносурядне
в.просте
г.складнопідрядне