Предмет: Физика, автор: Аноним

Срочно срочно срочно!!!!!!!

Приложения:

zybkov1950: Якщо є більше 3 завдань, то їх треба розділити на кілька інакше їх можуть видалити. Мала ймовірність, що хтось візьметься
стільки задач розв'язувати
zybkov1950: З червоним прапорцем. Просто в мене знімуть зароблені бали.
zybkov1950: Пізніше!

Ответы

Автор ответа: zybkov1950
1

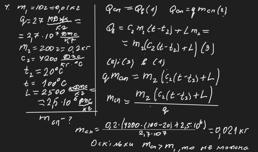
Відповідь: Див. додаток

Пояснення:

Приложения:

sertaxi: То допоможеш я просто пишу з другого акаунта
sertaxi: Тіки задачу і всьо
sertaxi: Допоможеш?
Похожие вопросы
Предмет: Биология, автор: elenavoronkina951
Предмет: Химия, автор: isacenkokata44