Предмет: Математика,
автор: asoyannubar
Можете решить эту задачу
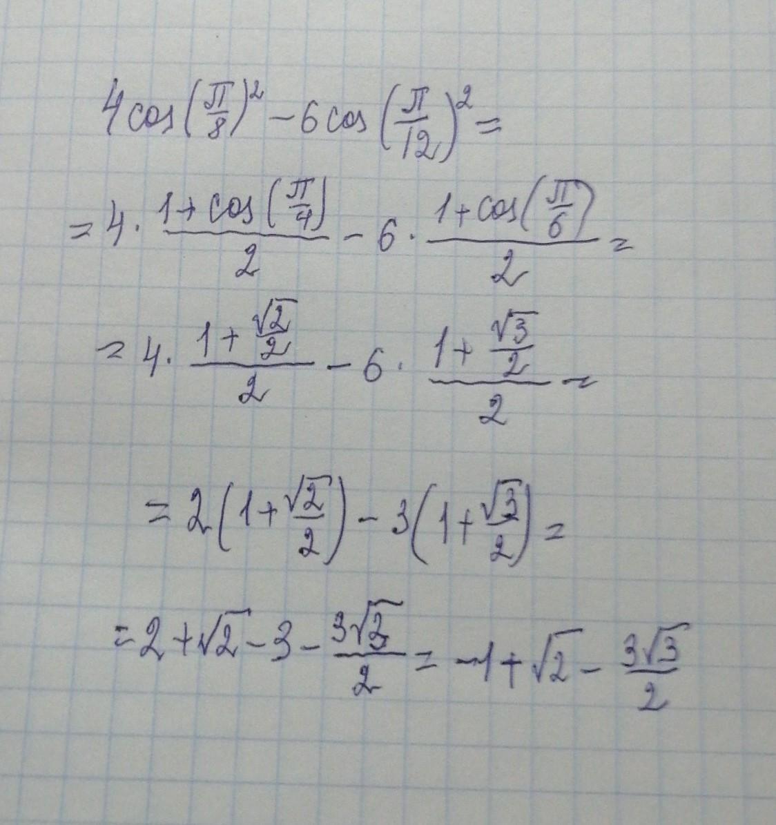
4cos^2pi/8-6cos^2pi/12
Ответы
Автор ответа:
1
Пошаговое объяснение:
используем : cos(t/2)²=(1+cost)/2
решение на фото аааааааааа
Приложения:
Похожие вопросы
Предмет: Қазақ тiлi,
автор: aruzhanshagatai
Предмет: Литература,
автор: baby976001826
Предмет: Українська мова,
автор: jolfori3577
Предмет: Математика,
автор: Аноним