Предмет: Алгебра,
автор: lenovoa680533
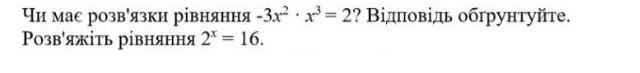
пж допоможіть!!!!!!:)
Приложения:
Ответы
Автор ответа:
0
Ответ:
вот шаги решения
Объяснение:
все на фото есть ответ на 1 и на 2
Приложения:
lenovoa680533:
це ти в фотометс подивився
:(
Похожие вопросы
Предмет: Математика,
автор: gggggk16l
Предмет: Другие предметы,
автор: karpyndenys3
Предмет: Физика,
автор: 1teengor1
Предмет: Математика,
автор: Maryana174