Предмет: Математика,
автор: simpotyashkayanochka
С решением пожалуйста !!!
Приложения:
Ответы
Автор ответа:
0
Ответ:
Надеюсь помогла.
Пошаговое объяснение:
(-)*(-)=(+), минус умножим на минус ,будет плюс
Когда умножаем одинаковые знаки , ответ получается положительным
(-)*(+)=(-)
Когда умножаем разные знаки, ответ будет отрицательным
Приложения:
Автор ответа:
1
Пошаговое объяснение:
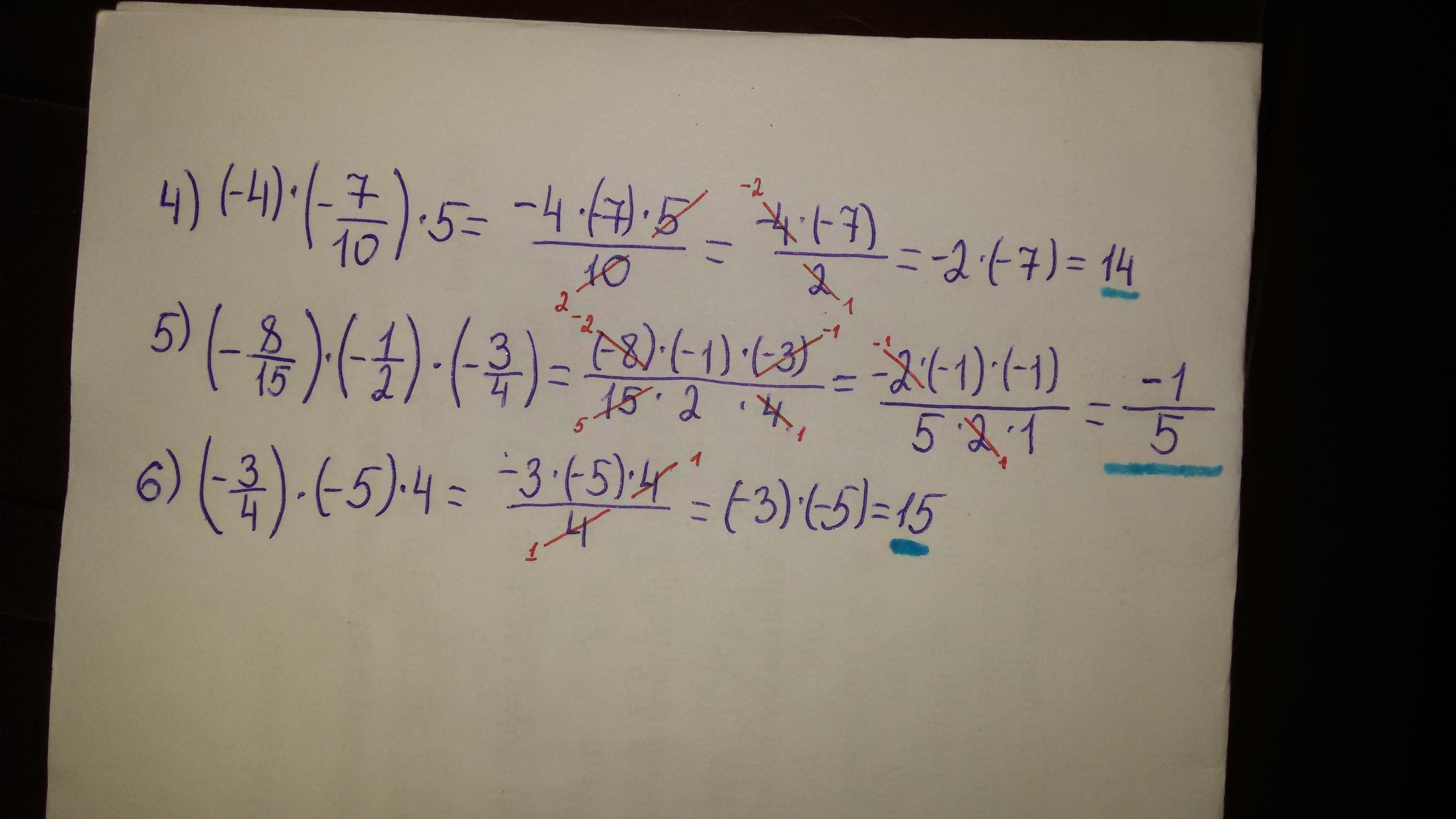
№4
-4 * (-7/10) * 5 = (-4 * 5) * (-7/10) = -20 * (-7/10) =
-2 * (-7/1) = 14/1 = 14
№5
-8/15 * (-1/2) * (-3/4) = (-8/15 * (-3/4)) * (-1/2) =
(-2/5 * (-1/1)) * (-1/2) = 2/5 * (-1/2) = -2/10 = -1/5
№6
-3/4 * (-5) * 4 = (-3/4 * 4) * (-5) = -12/4 * (-5) =
-3 * (-5) = 15
Похожие вопросы
Предмет: Литература,
автор: karihalove1
Предмет: Українська мова,
автор: arseniybarabash2010
Предмет: История,
автор: volkovaveronika32
Предмет: Геометрия,
автор: HeadHikka