Предмет: Математика,
автор: loredanakarapaskal
1. Доведіть, а) 12 i; що данні числа є взаємно оберненими: б) 24 i; в) 0,15 167; і i г) 0,8 і 1,25. Пожалуйста, срочно!! Пожалуйста , с решением на бумаге или просто в тексте но с объяснением, прошу
Приложения:
Ответы
Автор ответа:
2
Ответ:
Пошаговое объяснение:
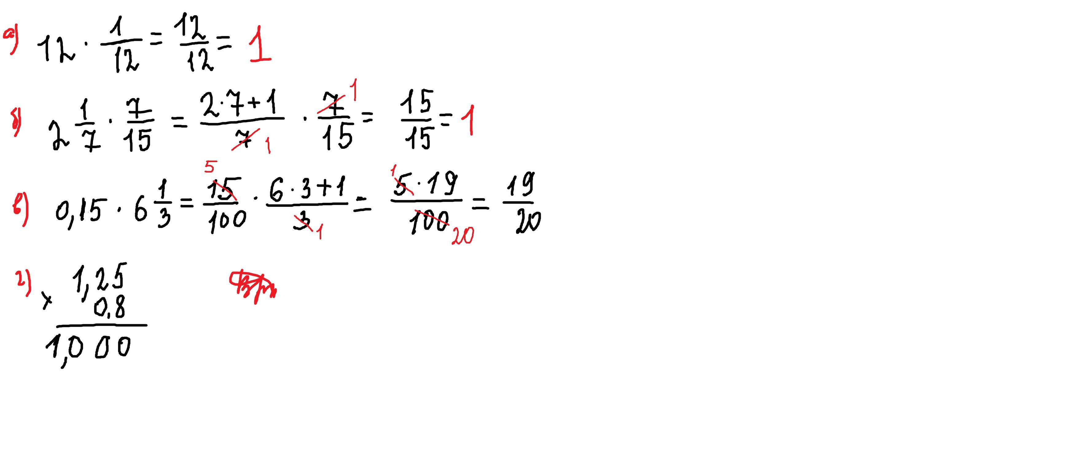
произведение взаимно обратных чисел равно 1.
поэтому просто превращаем смешанные дроби в неправильные,сокращаем,умножаем и если в ответе получается 1,значит числа взаимно обратные.В 3 примере не взаимно обратные,потому что их произведение не равно 1.В 4 примере умножаем в столбик.
если непонятно-спрашивайте.
Приложения:
loredanakarapaskal:
спасибо большое
Автор ответа:
1
Треба завжди робити за правилом: два числа добуток яких = 1 називают взаємно оберненними.
Щоб виконати це завдання перетворюємо змішані дроби на неправильні, скорочуємо і множимо. Якщо виходить 1, значить ми все зробили вірно то числа взаємно оберненні.
На фото усі числа взаємно оберненні крім 3 прикладу.
спасибо)
=)
Похожие вопросы
Предмет: Алгебра,
автор: yasya0964871324gmail
Предмет: История,
автор: pupil1873
Предмет: Математика,
автор: kudabaevadilnaz
Предмет: Английский язык,
автор: asyableck
Предмет: Математика,
автор: chernovaulyana2017