Предмет: Алгебра,
автор: Аноним
7 пж треба щоб було розпино будь ласка поможіть
Приложения:
slava23yasya:
нічого не видно
все одно не видно, погано видно які степені, та знаки. У першому там знак помножити чи + ? Степені 3, 4, 2?
Ответы
Автор ответа:
1
Відповідь:
7
1)32a^5b^9
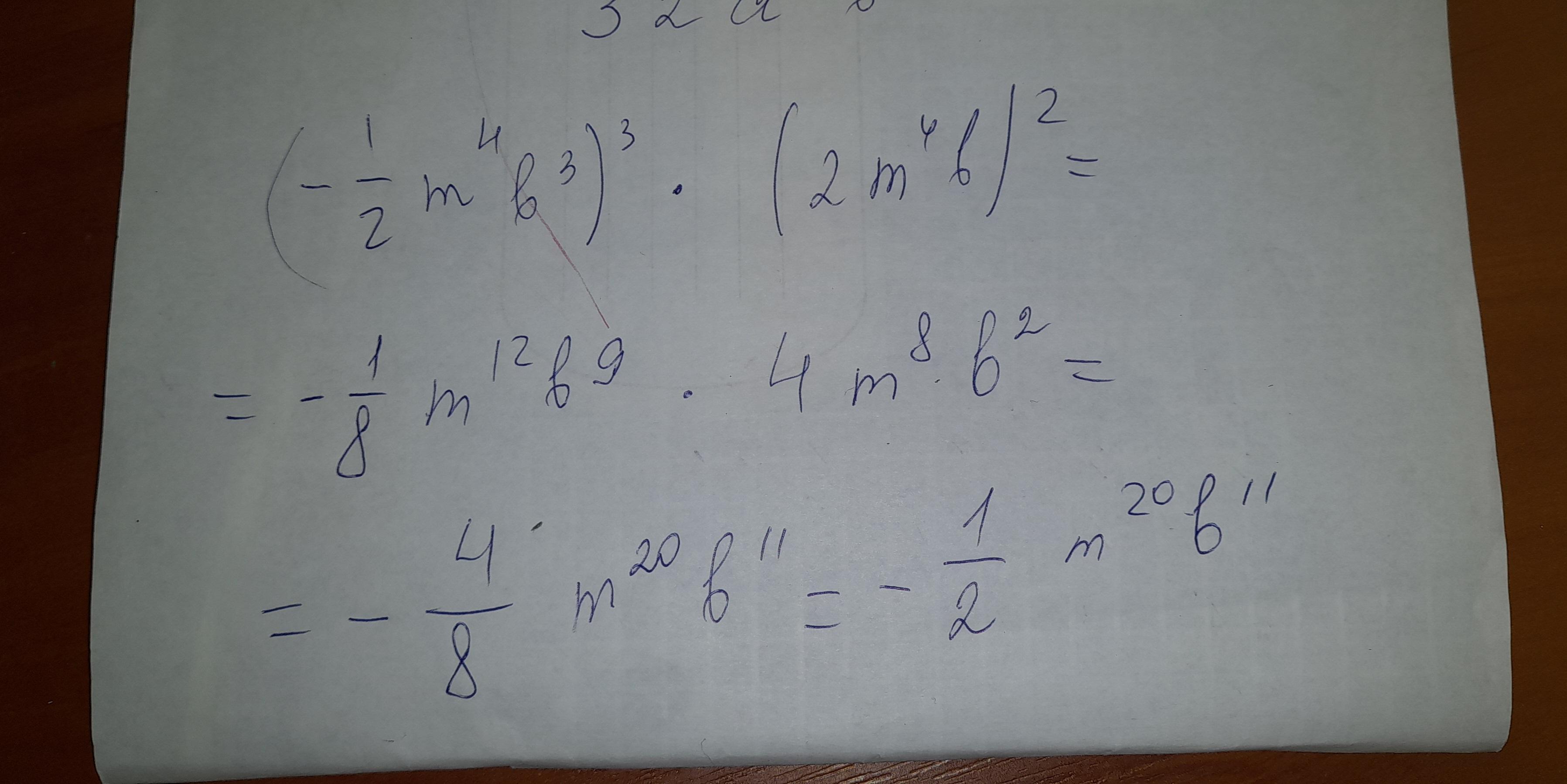
2) - 1/2 m^20b^11
Пояснення:
1) 0.5 a^3b *(-8ab^4)^2=0.5 a^3b *64a^2b^8=32a^5b^9
2) фото,
-4/8, скорочуємо на 4, та отримуємо -1/2-
Приложения:
Похожие вопросы
Предмет: Физика,
автор: lisszh
Предмет: Алгебра,
автор: yputgggp
Предмет: Українська мова,
автор: nikitka41903
Предмет: Русский язык,
автор: imonasov98
Предмет: Геометрия,
автор: Avlezhinzaiab