Предмет: Алгебра,
автор: yanakrasina2
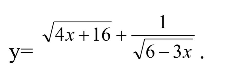
Знайдіть область допустимих значень функції
Приложения:
Ответы
Автор ответа:
0
Ответ:
ойой ой оййй ой ойойоооооо
Похожие вопросы
Предмет: Информатика,
автор: cajkanasta63
Предмет: Українська література,
автор: 3949844848
Предмет: Английский язык,
автор: Braa13
Предмет: Русский язык,
автор: Аноним
Предмет: Алгебра,
автор: legenda100306