Предмет: Алгебра, автор: paramonovadarina24

алгебра 7 класс СРОЧНО ​

Приложения:

Ответы

Автор ответа: anastasiya222fysgevs
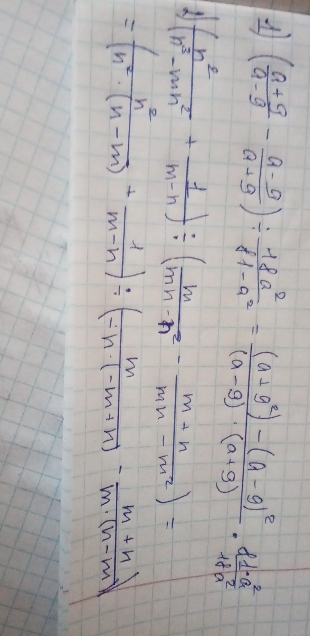
1

Объяснение:

чисто в мене так написано

Приложения:

paramonovadarina24: дякую тобі
Похожие вопросы
Предмет: Химия, автор: malarovaleksej014
Ребят помогите Даю 35 баллов

1. Чему равна степень окисления углерода в карбонате кальция:

А) +2;

Б) -4;

В) 0;

Г) + 4.

2. Чему равна степень окисления атомов в простых веществах:

А) всегда положительная;

Б) 0;

В) только отрицательная;

Г) +1.

3. Как изменяется степень окисления водорода в реакции

CuO + H2 → Cu + H2O

А) понижается;

Б) повышается;

В) не изменяется;

Г) остаётся неизменным.



4. Какая из данных реакций является окислительно-восстановительной:

А) CaCO3 = CaO + CO2;

Б) MgO + H2SO4 = MgSO4 + H2O;

В) AgNO3 + KCl = AgCl + KNO3;

Г) Сu(NO3)2 + Zn = Cu + Zn(NO3)2.

5. Расставьте коэффициенты в следующем уравнении. Укажите сумму коэффициентов:

FeCl2 + Cl2 = FeCl3

А) 5;

Б) 6;

В) 4;

Г) 3.

6. Атомы какого элемента являются окислителем в данном уравнении реакций :

Mg + H2SO4 = MgSO4 + H2

А) водорода;

Б) магния;

В) серы;

Г) кислорода.

7. Укажите схему процесса восстановления:

А) S-2 → S +6;

Б) O0 → O -2;

В) C+2 → C+4;

Г) Mg0→ Mg+2.





8. Укажите верную схему окисления для реакции взаимодействия натрия с водой:

А) Na0 → Na-1;

Б) H+1 → H0;

В) Na0 → Na+1;

Г) H+1 → H0;

9. Укажите соответствие (А1Б2В3Г4):

А) C+4 + 4e → C0 1. Процесс восстановления

Б) CaCO3 = CaO + CO2; 2. Окислительно-восстановительная реакция

В) C + O2 =  CO2 3. Процесс окисления

Г) C-4 - 4e → C0 4. не окислительно-восстановительная реакция



10. Может ли происходить превращение Na → NaОН при действии восстановителя? А) Ответ да или нет.

Б) Укажите сумму коэффициентов в уравнении окислительно-восстановительной реакции, соответствующей данной схеме.

В) Рассчитайте массу (г) гидроксида натрия, которая образуется из порции натрия массой 4,4 г.