Предмет: Геометрия,
автор: rmilano4ka
можете решить хоть пару заданий, умоляю, дам 50 баллов
Это геометрия 7 класс!!
Приложения:
Ответы
Автор ответа:
1
Ответ:
1. Б
2. В
3. А
4. В
5. А
Объяснение:
1. Углы 2 и 4 - накрест лежащие.
2. Так как углы 1 и 3 - накрест лежащие, то они равны, а углы 1 и 8 - смежные.
∠ = ∠
= 130°
∠ + ∠
= 180°
∠°
° =
°
3. ° (накрест лежащие)
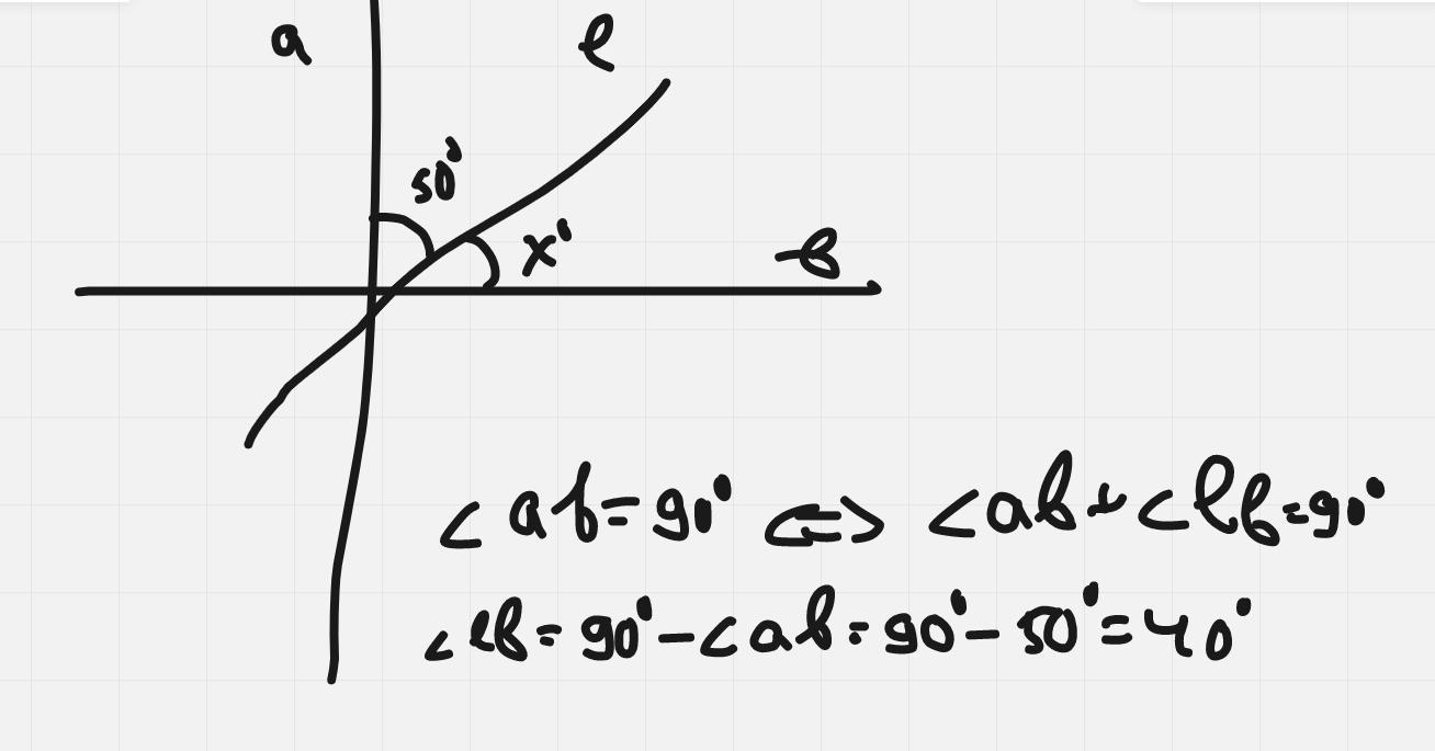
4. В
5. Решение на изображение.
Приложения:
Похожие вопросы
Предмет: Литература,
автор: maksimvavruk92
Предмет: Українська мова,
автор: Аноним
Предмет: Математика,
автор: maksimpetruha6
Предмет: Физика,
автор: twerka421