Предмет: Физика,
автор: alextrach30
Допоможіть будь ласка!!
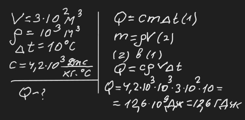
Порахуйте кількість теплоти, яка необхідна для нагрівання басейну об'ємом 300 м3 на 10 °С. Щільність (густина) води - 1000 кг/м³.
Ответы
Автор ответа:
0
Відповідь: 12,6 ГДж
Пояснення:
Приложения:
Похожие вопросы
Предмет: Математика,
автор: olgachuikova894
Предмет: Математика,
автор: mangolake2711
Предмет: Математика,
автор: anastasiyapechina
Предмет: Английский язык,
автор: mikhaillychagin