Предмет: Физика,
автор: alenal46
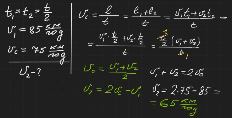
СРОЧНО!При перевезенні вугілля до пункту призначення локомотив проїхав першу половину часу зі швидкістю 85км/год. З якою швидкістю поїзд їхав другу половину часу, якщо його середня швидкість на всьому шляху становила 75км/год?
Viktoria09020902:
все буде добре
Ответы
Автор ответа:
21
Відповідь: 65 км/год
Пояснення:
Приложения:
спасибо огромное
Автор ответа:
6
Ответ:
V₂ = 65 км/ч
Объяснение:
V₁ = 85км/год
Vср =75км/год
t₁ = t₂ = t/2
____________
V₂ - ?
;
85 + x = 150
x = 150 - 85 = 65 км/ч
Похожие вопросы
Предмет: Українська мова,
автор: vitazukova10
Предмет: История,
автор: fincuk
Предмет: МХК,
автор: makszalinsky
Предмет: Биология,
автор: Volkal1
Предмет: Химия,
автор: tiffanibollit