Предмет: Алгебра,
автор: denisskvortsov2008
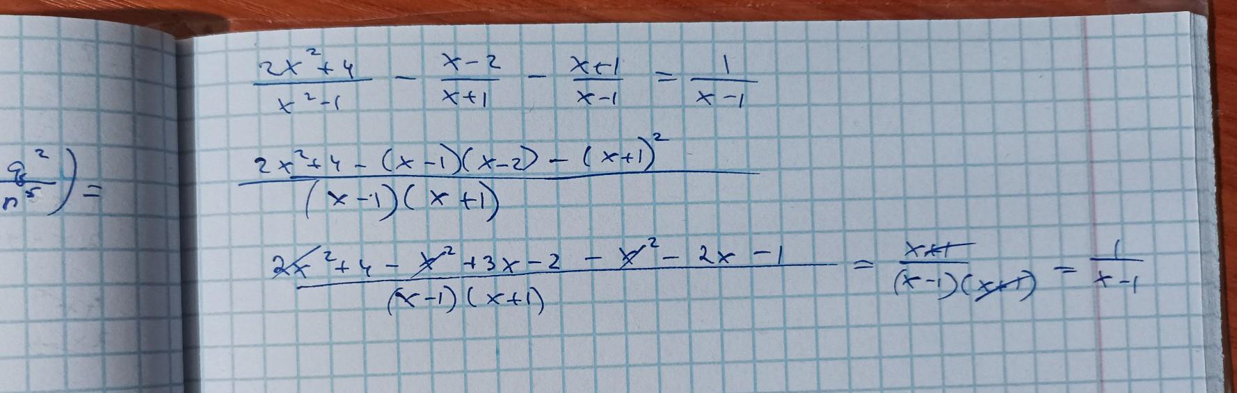
Помогите плиз, заранее спасибо
Приложения:
Ответы
Автор ответа:
0
вроде так, надеюсь что помогла :)
Приложения:
Похожие вопросы
Предмет: Қазақ тiлi,
автор: albinaalekseewa919
Предмет: Қазақ тiлi,
автор: bakytkazyzanerke
Предмет: Литература,
автор: hristinaslivka45
Предмет: Математика,
автор: Аноним
Предмет: Русский язык,
автор: Аноним