Предмет: Алгебра,
автор: loledigret
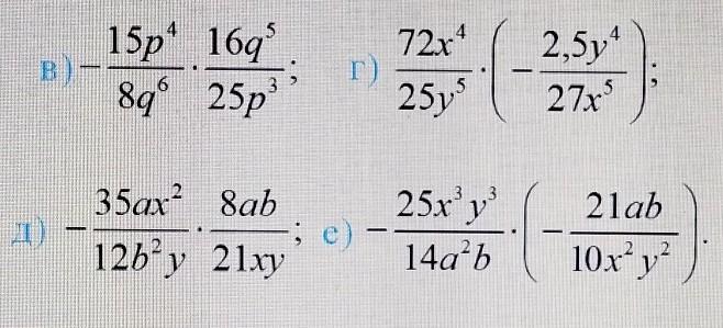
Помогите пожалуйста
только г,д и е
Приложения:
Ответы
Автор ответа:
0
Ответ:
д)
Объяснение:
вроде так
Приложения:
Похожие вопросы
Предмет: Литература,
автор: grigorijcerednicenko
Предмет: Математика,
автор: n2443406
Предмет: Математика,
автор: muazanwar20
Предмет: Математика,
автор: lizavetta3103com
Предмет: Литература,
автор: auo66710