Предмет: Алгебра,
автор: saduakasinkr12
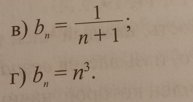
напишите 5 первых членов последовательности
Приложения:
Ответы
Автор ответа:
0
Объяснение:
если что-то не правильно извините
Приложения:
Похожие вопросы
Предмет: Алгебра,
автор: DeBiIlKonChEniY
Предмет: Другие предметы,
автор: katakravchena1706
Предмет: Русский язык,
автор: rezerwnauapocta2
Предмет: Геометрия,
автор: lenalena728888