Предмет: Алгебра,
автор: fros111p
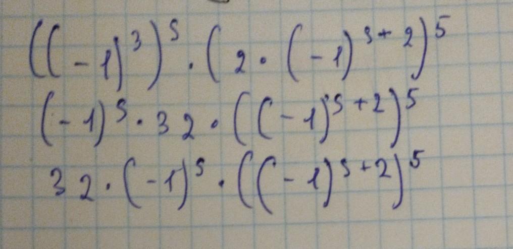
Допоможіть будь ласка
Приложения:
Ответы
Автор ответа:
0
Объяснение:
(•‿•)(•‿•)(•‿•)(•‿•)
Приложения:
Похожие вопросы
Предмет: Українська мова,
автор: p9h6b4mx59
Предмет: География,
автор: 2qszbqjd8v
Предмет: Математика,
автор: bodakmaksim392
Предмет: Английский язык,
автор: barianagerniak
Предмет: Математика,
автор: maxicom346