Предмет: Геометрия,
автор: ilyha1232
ПОМОГИТЕ 4 РЕШИТЬ! ПОЖАЛУЙСТА
Приложения:
Ответы
Автор ответа:
0
Ответ:
Объяснение:
ажрбаькьпьыкьпьчдыкдпдсбвкба
елелпдузуезпзадвдепдаьаьаа
Автор ответа:
0
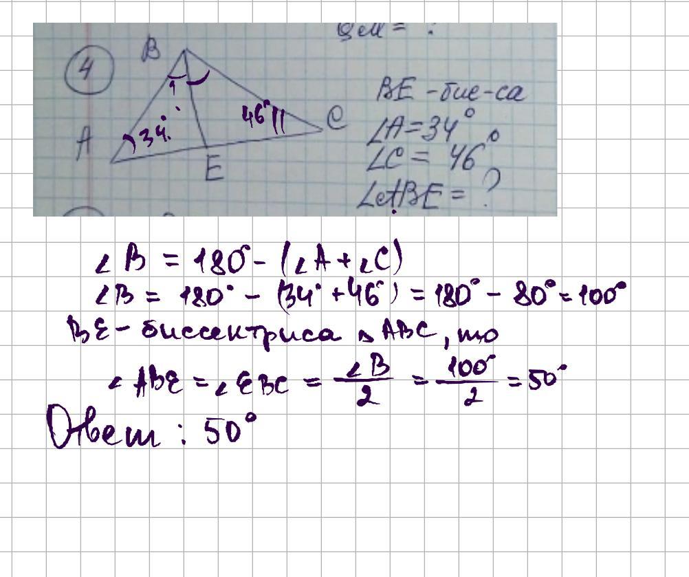
Ответ:
50 градусов
Объяснение:
Приложения:
Похожие вопросы
Предмет: Английский язык,
автор: ivancban
Предмет: Українська мова,
автор: misenkomaria18
Предмет: Математика,
автор: ilkinmmmdli06
Предмет: Українська література,
автор: mohkatrin2006
Предмет: Математика,
автор: gunderolena