Предмет: Физика,
автор: unfeelUA
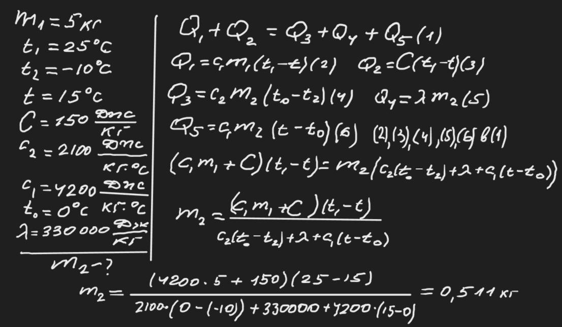
СРОЧНО! У калориметрі міститься 5 кг води при 25 градусах. У нього опустили шматок льоду, температура якого -10 градусів. Після танення льоду в калориметрі встановилася температура 15 градусів. Визначити масу льоду, який було опущено в калориметр, якщо теплоємність калориметра 150 Дж/С . Питома теплоємність льоду 2100 Дж/С, а води 4200 Дж/С. Питома теплота плавлення льоду 330 Дж/С.
abobus228Fg:
my name is Gustavo but you can call my Gus
Ответы
Автор ответа:
1
Відповідь: 0,511 кг
Пояснення:
Приложения:
Похожие вопросы
Предмет: Литература,
автор: podobayloarem
Предмет: Алгебра,
автор: Chelovekshokolabniy
Предмет: Українська мова,
автор: maksummuhal
Предмет: Математика,
автор: misha3108pavliuk
Предмет: Английский язык,
автор: bruhmann