Предмет: Физика, автор: keyn31

СРОЧНО
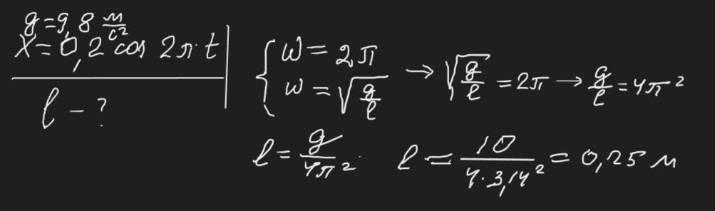
Математичний маятник здійснює коливання за законом х=0,2соs2πt. Визначте довжину цього маятника.

Ответы

Автор ответа: zybkov1950
3

Відповідь:

Пояснення:

Приложения:

keyn31: а де взялись 9,8?
zybkov1950: Прискорення вільного падіння. Я дав ще інший розв'язок
keyn31: добре дякую
Похожие вопросы
Предмет: История, автор: vedeo13
Вы крестьянин, уехавший жить в город Фивы, чтобы работать в малярной мастерской, то есть делать картины, которые в дальнейшем будут использованы для украшения храмов, гробниц и домов привилегированных. Хозяйка мастерской женщина. Вы должны написать письмо своему брату/ сестре, в котором вы объясните, на что похожа жизнь ремесленника в городе, и сравните ее с жизнью фермера в деревне, а также вы должны сообщить, что вы пошли со своим учителем по мастерской, чтобы принести подношения фараону Вы можете использовать рисунки деревни и города в Египте и рисунок подношений фараону в своей книге. В письме необходимо: Опишите, на что похож город Фивы; дома, улицы и деятельность, которая осуществляется там Сравните с деревней; дома, поля, ирригационные системы и деятельность, которая происходит они там выступают Объясните, на что похож акт подношения фараону, который вы совершили, сопровождая своего учителя семинара во дворец фараона; какие социальные группы существуют, если они привилегированные или не привилегированные, какую роль каждый из них играет в обществе Назовите власть фараона: политическую, религиозную и военную. Опишите фараона и то, что означает каждый из элементов, которые он несет.
РЕБЯТ ДАЮ ВСЕ БАЛЛЫ, ДЛЯ ТОГО КТО НАПИШЕТ ЭТО, ПОМОГИТЕ СРОЧНО!!!!! ​