Предмет: Алгебра,
автор: Zagadal12
Даю 97 балів за правильне рішення
Приложения:
Ответы
Автор ответа:
1
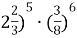
Ответ: 3/8
Объяснение: (8/3)^5×(3/8)^6=3/8
Автор ответа:
1
Відповідь:
Пояснення:
(2* (
*
*1
oleeesya6:
дякую за оцінки
Похожие вопросы
Предмет: Английский язык,
автор: ira121314
Предмет: Українська мова,
автор: gudun0
Предмет: История,
автор: dudnikviktoria118
Предмет: Алгебра,
автор: lozickadara
Предмет: История,
автор: shamaevavoronkina