Предмет: Физика,
автор: elenamitya2007
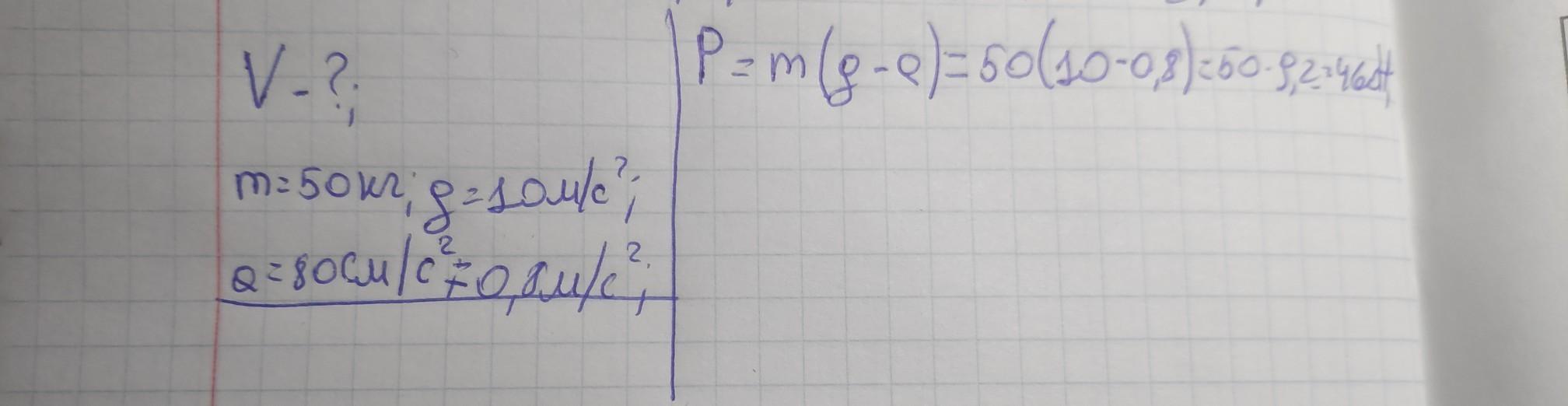
Визначте вагу тіла масою 50 кг, яке рухається до землі з прискоренням 80 см/с2.
Ответы
Автор ответа:
1
Ответ:
P = 460 H;
Объяснение:
Дивіться на фотографії вирішення;)
Приложения:
Похожие вопросы
Предмет: Математика,
автор: zekokukolka
Предмет: Английский язык,
автор: oleg170412
Предмет: Математика,
автор: pakimondimon94
Предмет: Қазақ тiлi,
автор: aminaasan81
Предмет: Математика,
автор: kirpershin