Предмет: Физика,
автор: yevhenkozerenko
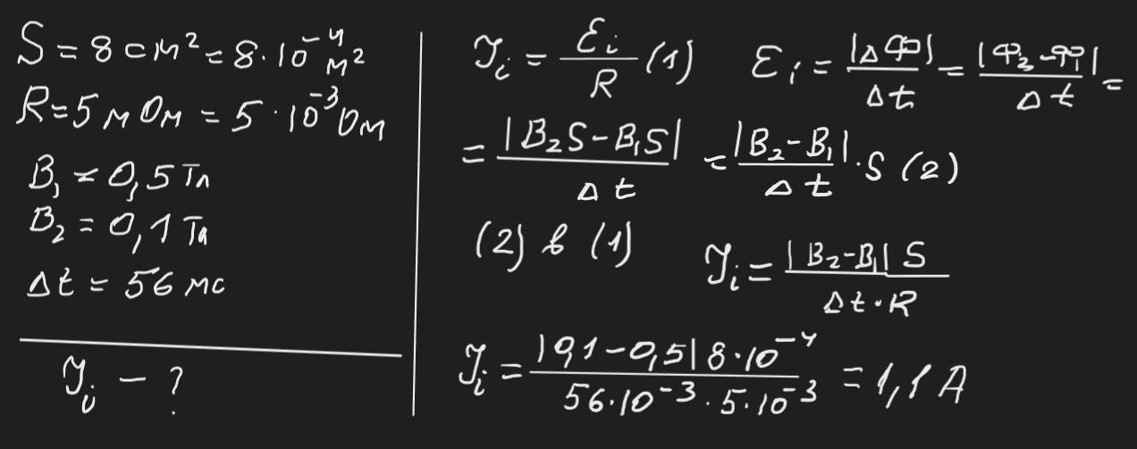
Плоский виток площею 8 см2 вміщено в однорідне магнітне поле перпендикулярно до ліній індукції. Опір витка дорівнює 5 мОм. Якої сили струм буде проходити по витку, якщо індукція магнітного поля рівномірно зменшується від 0,5 Тл до 0,1 Тл за 56 мс? Результат округліть до десятих.
Ответы
Автор ответа:
0
Відповідь: ≈ 1,1 А
Пояснення:
Приложения:
Похожие вопросы
Предмет: Математика,
автор: marinkitagawa2011
Предмет: История,
автор: sofiagolubchenko8
Предмет: Українська мова,
автор: nvolobuev
Предмет: Другие предметы,
автор: Аноним
Предмет: Химия,
автор: hristabojkiv8am