Предмет: Математика,
автор: maria59976
Пжпжпжпжажпжажжпжпжажа розв’яжіть
Приложения:
Ответы
Автор ответа:
0
Відповідь:
см
Покрокове пояснення:
Приложения:
Автор ответа:
1
Ответ:
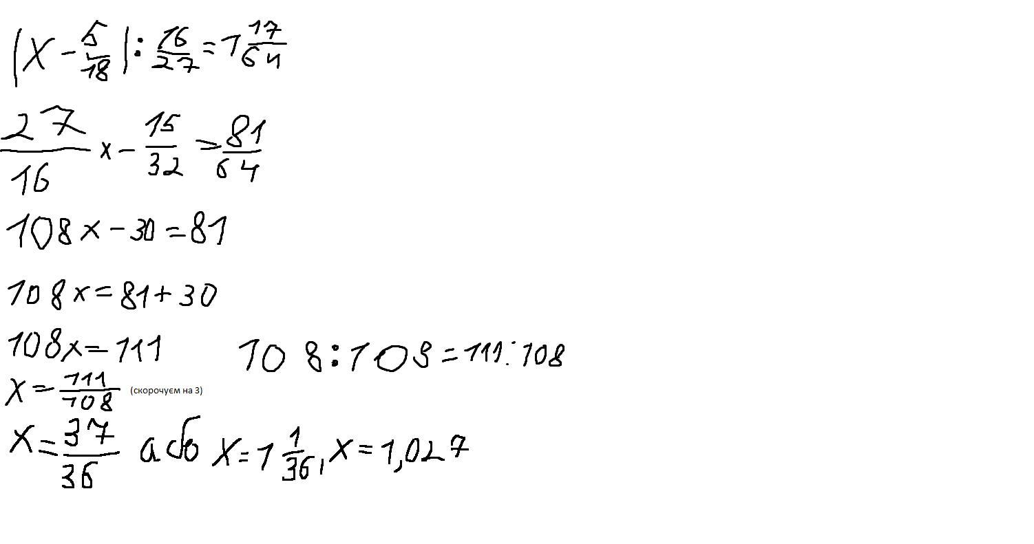
Відповідь на скрині
Пошаговое объяснение:
Приложения:
Похожие вопросы
Предмет: Українська мова,
автор: dasha68699
Предмет: Қазақ тiлi,
автор: polinka201150
Предмет: Химия,
автор: Dretud
Предмет: Физкультура и спорт,
автор: zopunanliana
Предмет: Русский язык,
автор: Q119