Предмет: Математика,
автор: timsokoly18
Знайди значення виразу
4/3+3/7
5/16+11/12
9/20-5/12
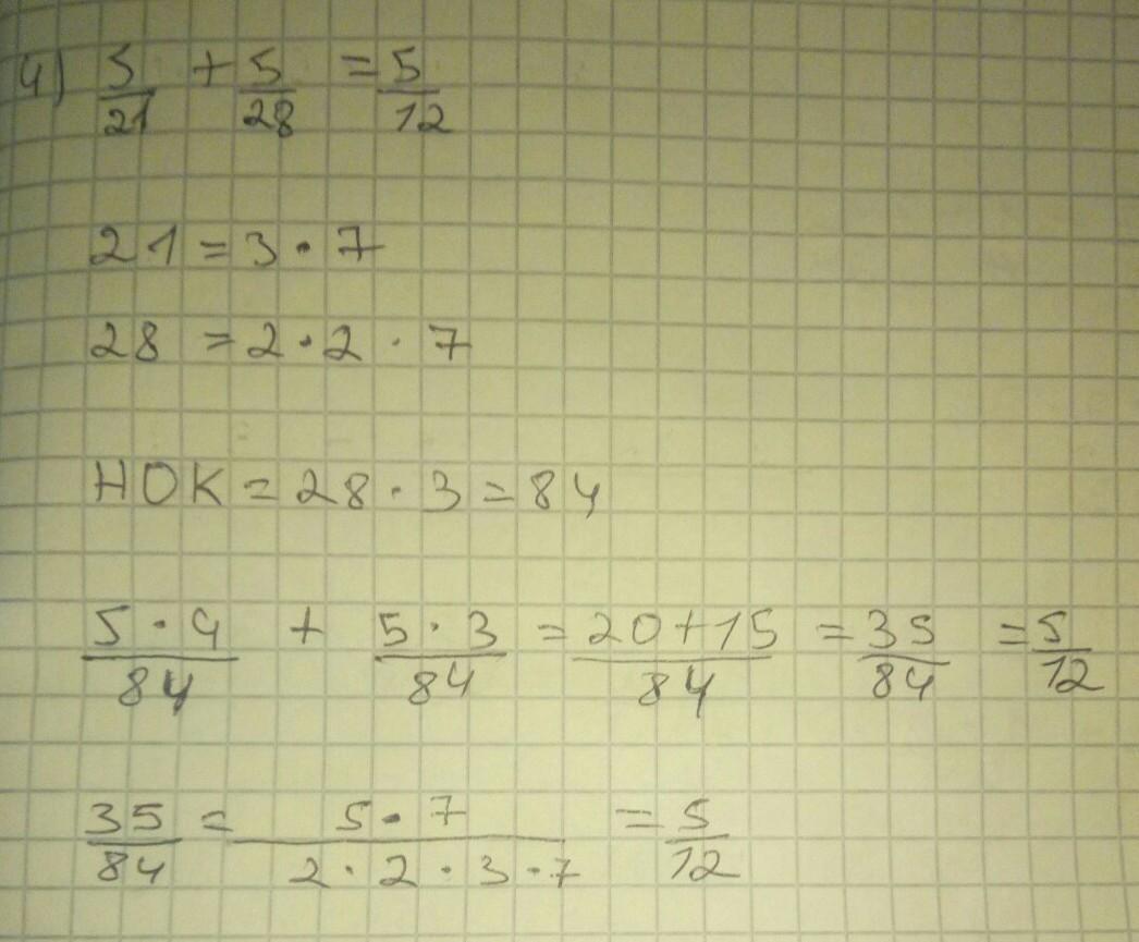
5/21+5/28
7/18-1/45
timsokoly18:
/ це дроб
Ответы
Автор ответа:
1
Решение на фотографии.
5 фото
Приложения:
Сделайте лучшим ответом, я буду очень рад :)
Автор ответа:
0
Пошаговое объяснение:
4/3 + 3/7 = 28/21 + 9/28 = 37/28 = 1 9/28
5/16 + 11/12 = 15/48 + 44/48 = 59/48 = 1 11/48
9/20 - 5/12 = 27/60 - 25/60 = 2/60 = 1/30
5/21 + 5/28 = 20/84 + 15/84 = 35/84 = 5/12
7/18 - 1/45 = 35/90 - 2/90 = 33/90 = 11/30
Похожие вопросы
Предмет: Алгебра,
автор: tayhung301296
Предмет: Литература,
автор: Аноним
Предмет: Физика,
автор: servdanil250908
Предмет: Русский язык,
автор: abdusamatovanoila
Предмет: Алгебра,
автор: 56Nika56