Предмет: Алгебра,
автор: nastya2805200860
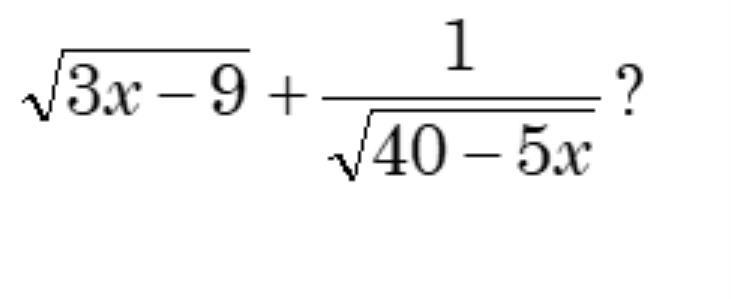
При яких значеннях змінної має зміст вираз
Приложения:
Ответы
Автор ответа:
1
√-9 не можливий
х≠0
х≠8
Похожие вопросы
Предмет: Информатика,
автор: oslava56
Предмет: Литература,
автор: stetsalinochka
Предмет: Химия,
автор: svetikhristenko60
Предмет: Алгебра,
автор: erny1234567891
Предмет: Математика,
автор: 652882