Предмет: Физика,
автор: morozsofia845
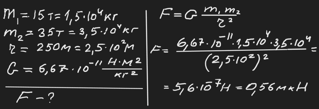
срочно!!!! Знайти силу взаемного притягання космічного корабля масою 15 т та супутника масою 35 т, які знаходяться на відстані 250 м.
Ответы
Автор ответа:
0
Відповідь: 0,56 мкН
Пояснення:
Приложения:
Похожие вопросы
Предмет: Литература,
автор: mariaaaaaaaa92
Предмет: Физика,
автор: zaeckarolina
Предмет: Алгебра,
автор: marikiowo
Предмет: Другие предметы,
автор: apmd
Предмет: Математика,
автор: kika260509