Предмет: Математика,
автор: Kotyatadidkobskay077
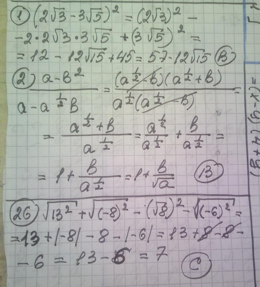
Задание 1,2 и задание 26 пожалуйста прошу
Приложения:
Ответы
Автор ответа:
1
Ответ:
решение смотри на фотографии
Приложения:
Kotyatadidkobskay077:
Привет, можешь помочь там я выложила новое задание можешь решить пожалуйста умоляю тебяяяя там график
Похожие вопросы
Предмет: История,
автор: bybysikzero
Предмет: Русский язык,
автор: ISMOIL1234
Предмет: Математика,
автор: nkgxkyutdiyxur
Предмет: Математика,
автор: mataevaalima119
Предмет: Математика,
автор: lenysuka