Предмет: Физика,
автор: ulevenec73
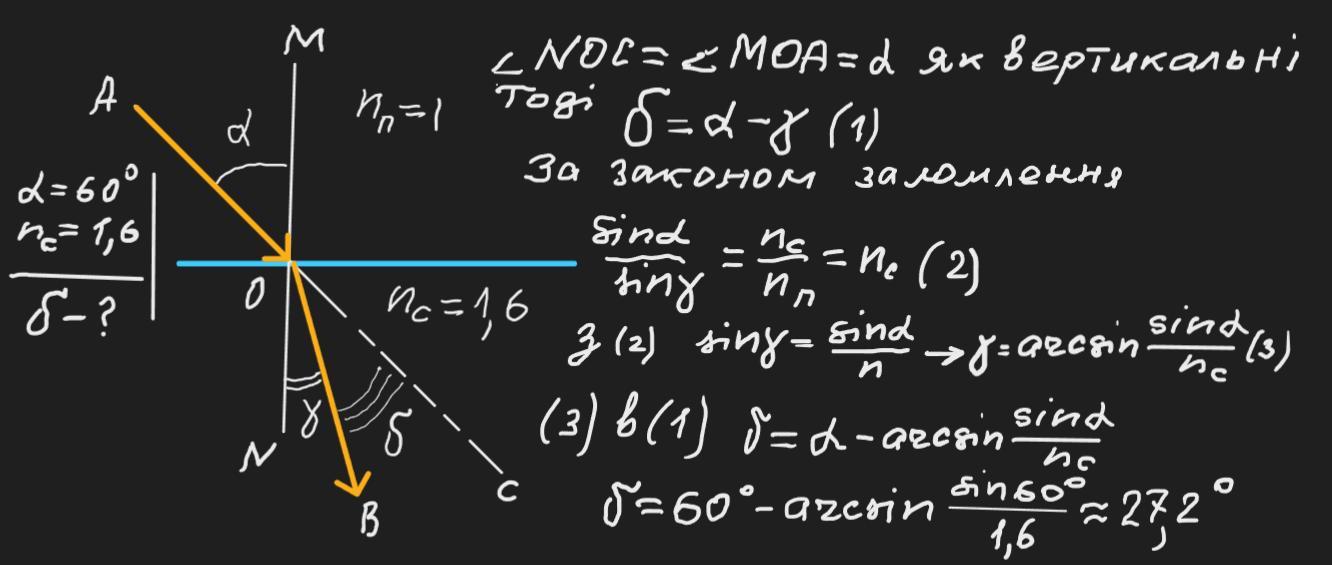
Задача 13. Кут падіння світлового променю з повітря на поверхню скла дорівнює 60º. На який кут зміститься промінь після заломлення? Показник заломлення скла дорівнює 1,6.
Ответы
Автор ответа:
2
Ответ:
Объяснение:..........
Приложения:
ulevenec73:
спасибо!!!))
допоможіть з моїми завданнями
Извините, там 4 задания, можно 3 и много считать. Протон..... Уже ночь.
Автор ответа:
2
Відповідь: ≈ 27,2⁰
Пояснення:
Приложения:
Похожие вопросы
Предмет: Математика,
автор: abobuskusokus
Предмет: Химия,
автор: viktoriyarubiy
Предмет: Биология,
автор: vasyrukanichka
Предмет: Математика,
автор: kasenovainash2015
Предмет: Математика,
автор: kristina5415