Предмет: Алгебра,
автор: vincono2014
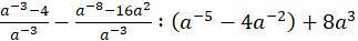
Помогите пожалуйста, нужно упростить ! 20 баллов!
Приложения:
Ответы
Автор ответа:
1
Ось кінцева відповідь
Приложения:
Похожие вопросы
Предмет: География,
автор: konolga153
Предмет: Музыка,
автор: izhuk3
Предмет: Музыка,
автор: lalka3525
Предмет: Алгебра,
автор: ulik1376
Предмет: Обществознание,
автор: turkinn2020