Предмет: Математика,
автор: n9537779
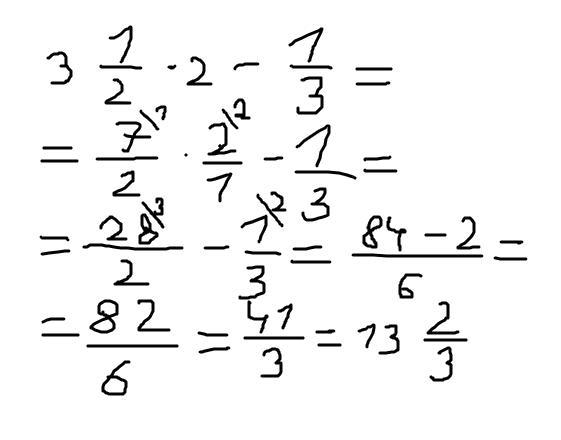
3 1/2×2- 1/3 срочно помогите
n9537779:
8×(3 1/4-1 1/2) помогите
Ответы
Автор ответа:
1
Відповідь:
Тримай
Покрокове пояснення:
Приложения:
Автор ответа:
0
Відповідь:
=6 2/3≈6.666666666666667
Покрокове пояснення:
Похожие вопросы
Предмет: Геометрия,
автор: Yuna2811
Предмет: Литература,
автор: javorskavika
Предмет: Математика,
автор: mmmu57889
Предмет: Окружающий мир,
автор: Аноним
Предмет: Русский язык,
автор: edkulikovskij0044