Предмет: Математика,
автор: lod773528
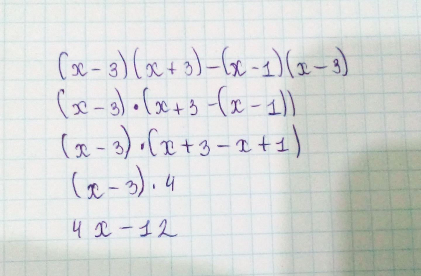
(х-3)(х+3)-(х-1)(х-3)
Ответы
Автор ответа:
1
Привет вот ответ на твой вопрос
Приложения:
Автор ответа:
1
Ответ:-6+4x
Пошаговое объяснение:
1 сначала открываем дужки x*x+x*3-3*x-3*3-(x*x-x*3-1*x+1*3)
2 умножаем =x ²+3x-3x-9-x²+3x+1x-3
3 хз как объяснить = -6+4x
Похожие вопросы
Предмет: Французский язык,
автор: Аноним
Предмет: Физика,
автор: hekhaev228
Предмет: Экономика,
автор: yulia20031001
Предмет: Алгебра,
автор: annakib40
Предмет: Қазақ тiлi,
автор: chetkimatras36